其他消息

秦海岩:风电“间歇性”真会影响电网安全吗

2019-03-12 11:06  来源:中国电力新闻网  作者:秦海岩  点击:1528
  2018年9月,美国加州州长Jerry Brown签署“参议院100号法案”,正式将“加州清洁能源发电利用达到100%”的目标纳入法律。法案规定将加州可再生能源份额目标提升,分别设定了2026年达到50%、和2030年达到60%的目标。而到了2045年,加州将实现零碳电网。
  
  相比加州,丹麦的国家清洁能源政策更加雄心勃勃。丹麦在2011年就已制定目标,在2050年彻底摆脱对化石燃料的依赖。根据丹麦能源组织DanskEnergi的数据,丹麦2018年风能发电量已经占全国电力消费总量的40.8%。
  
  在欧美国家清洁能源发展大踏步前进的同时,中国近几年风电和光伏的发展其实也非常迅猛,但对新能源电力并网能否达到欧洲那么高的比例,我们自上而下的信心仍然严重不足。
  
  尽管已经大力发展了几十年,但仍然存在一个十分普遍的观点,风力发电具有“间歇性”、“波动性”,不如火电“稳定”,因此不是安全的电力供应。甚至还有人认为,减少燃煤发电且大力发展新能源和分布式能源供应,会进一步加剧电网的不稳定性,从而降低电网投入的积极性,最终影响城市民众的用电安全。我国“三北”地区近年来不太合理的高比例“弃风限电”现象,也被误读为是因为风电光伏的“间歇性”和“波动性”无法满足城市用电的发展需求而造成的。
  
  然而实际情况并非如此。
  
  作为风电从业人士,笔者根据国内外研究成果,尝试对几个容易引起误解的基本问题做些解答,希望用事实还原风电的真正面貌,帮助消除社会上对风电的一些误解。
  
  风机良好的布局,可以有效地平滑其出力,具有高至60%甚至更高的保证容量
  
  很多人看到路边建好的风机没转起来,就怀疑风电的是否因为不稳定而被弃用。还有人觉得无风的天气、风机不转,靠风力发电的地区是不是就彻底停电了?
  
  这些朴素的担心不是没有道理,但从风电技术角度看,我们需要讨论一下所谓“风电波动性和间歇性”的影响到底有没有那么大。
  
  实际上,电力系统中的风电不能割裂开来分析,应将其视作一个整体。也就是说,我们不能独立于电力系统其他部分来分析风电到底是不是稳定可靠。
  
  也许我们看到的是某一台风机停了,或一个风电场都停了。但从整体看,风能资源所能发出的电放到整个电力系统中,它并没有全部停止。随着并网风电机组的增多,风电在电网中的变化就会越来越小。对于整体的电力供应而言,除非发生所谓的“风电机组连锁脱网事故”,某台风电机组或某个风电场的风停了不会产生很大的影响,这就好比涓涓细流汇入汪洋大海,不会激起一丝涟漪。
  
  分布在更广泛区域内的风电机组,对付突发和极端事件也更容易一些。比如极端台风天气需要停机,这时可以调动更大区域的风电场来应对这一挑战。
  
  台风来袭的时候,单台风机必须立即停机,从“满发”(即满功率发电)的状态直接降到零出力。但更大范围内的风电机组,不会立即全部停机,而是随着台风的进展,利用大风天气条件,加紧“满发”再逐渐停机,反而能抢到更多发电量。理论上,随着风电场装机容量的增加以及空间分布区域的增大,风电功率的相对波动也会变得越来越平缓,具有明显的“平滑”效应。
  
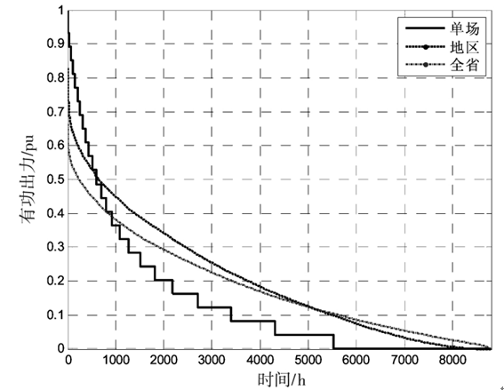
  图:单场、地区、全省风电汇聚效应曲线对比
  
  上图分别是我国东北地区某省风电的单场、地区、全省的汇聚效应曲线。全省的汇聚效应曲线是三者之中最平滑的,并且全年中都处于发电状态。也就是说,即使是波动性电源,其保证容量也是显着的大于零的,甚至高至60%以上。
  
  一句话概括,与“风电不可靠,根本无法大规模并网应用;并网容量越多,越会威胁到整个电力系统的安全”这个误导性说法相反的事实是:更大规模、布局良好的风电,会更大程度上保障该区域供电稳定。
  
  “不稳定”是整个电力系统的常态,电网的功能与角色在提供平衡服务
  
  首先要建立的观念是:电力系统,包括供电和用电,其本质上是高度不稳定的,天然受到大量计划和非计划因素的影响。
  
  在用电侧,由于天气、自然灾害、事故等原因会造成用电量的突然变化,导致某一地区用电负荷不同时间尺度内的不稳定。例如,夏天极端高温或冬天突发寒潮,会造成数百万人同时打开电力设备来制冷或取暖,对电的需求就会突增。开灯或者关灯,生产线的启停机,都会对用电量带来波动性影响。
  
  而就供电侧而言,所有的电源都可能发生波动,没有哪一种电站或供电类型是完全稳定的,所有的系统也都可能在某一点发生故障。比如传统大型电厂为了满足电网调度的要求或计划停机等,这都会造成瞬间输出波动。
  
  有数据显示,火电厂非计划停运造成的损失平均占其发电量的6%。一个火电厂或核电站输出的波动,往往瞬间发生,去掉的容量高达上千兆瓦,这才是真正的间歇现象,系统不得不立即做出响应。
  
  瞬间波动导致整个电力系统崩溃的事故也屡见不鲜。例如2003年波及北美8个洲以及加拿大安大略省的、有史以来北美最大范围的停电,其起因就是俄亥俄州的一家电力公司没有及时修剪树木,触到高压电缆造成短路。这就是一家发电厂下线产生的多米诺骨牌效应。
  
  既然传统火电、水电和核电的供电和用电都可能随时发生变化,只单纯地说风电的“波动性”可能造成电网的“不稳定”,就既不准确、也有失公平。他们之间只存在程度的区别,而不是性质的区别。作为从业者,我们应该做的是更多考虑如何预测、管理和改善这种电力系统天然的不稳定性,并采用合适的工具来提高可靠性与效率。
  
  很显然,从局部或一段时间看,风电是有变化的,但这种变化一般可以通过数值天气预报模型和数据统计等多种方法来进行预报。从系统的平衡来讲,波动完全不是问题,那些不可预计的波动(也就是出力偏差)才是问题。丹麦、西班牙等国已经实现了风电输出功率的日前与日内滚动预测,准确率超过90%。
  
  其实,我国风电的运行管理水平与这些国家的差距已经非常接近,随着智能运维水平和预测准确率的提升,风电的出力预测已经可以满足电网调度的需要,主要的问题是电网如何改变调度策略。
  
  
  图:2013 年风电发电量时段统计曲线
  
  德国能源转型10年的经验证明,风电并不会影响用电安全
  
  可预测的风电变化,相对于传统电力系统,并没有导致电力系统更不可靠。笔者试着引用德国风电“间歇性”与持续中断时间关系的一个数据,来印证上述观点。
  
  基于国际“系统平均中断持续时间指数”(下文简称SAIDI),德国联邦网络局(BNetzA)的数据显示,2006年到2017年,德国可再生电力生产的份额从11.3%上升到了33.1%,主要来自风能和太阳能发电站等“波动来源”;而每年每位消费者平均停电时间从超过20分钟,降低到只有15分钟(2016年为13分钟)见下图。
  
  
  根据欧洲能源监管委员会(CEER)的数据,德国的电力供应安全是欧洲最好的。在CEER 2018报告对2016年数据的比较中,德国的SAIDI得分(包括特殊中断)13.3分钟在欧盟排名第二,略低于瑞士的9分钟。新能源电力的增加,对电力供应的安全几乎没有影响,甚至更好。
  
  上述事实表明,单纯评价电源的波动性本质上是没有任何意义的,因为所有的电源都是波动的,都要在电网中实现平衡。欧洲风能协会出版的《欧洲大规模风电并网研究报告》显示,在风电作为供电主力的电力系统中,公认的看法是在既有的电网框架与运行规则下,风能可以满足大型电网电力需求的20%甚至更高,而不会造成严重的技术或实际问题。事实上,2018年丹麦电网中的风电比例已经超过40%。
  
  全球范围内,对风电与电力系统的理解也是在不断更新的。早在15年前,欧盟委员会提出风电面临的主要挑战之一就是如何有效地大量并入欧洲电力系统中。当时有很多观点认为风电不稳定,无法大规模并网,而这些疑虑在如今已不复存在。7年前,中国可再生能源学会风能专业委员会全文翻译发表了美国国家可再生能源实验室(NREL)撰写的《破解风电迷思》引发了风电行业对风电能否顺利并网,如何控制波动性等问题的讨论。
  
  7年后的今天,我们再次尝试解释这个问题,希望无论在行业内外,能有更多人更充分地了解风电这种清洁能源,不让“间歇性”和“波动性”这样的“标签”导致对“波动性能源会导致突然断电”的无谓担心;也不能把“弃风弃光”这些实质上由于体制约束和利益格局冲突导致的复杂问题,归因为“客观的技术挑战”。
  
  相反地,作为风电从业者,笔者期待看到从决策者到从业者,可以更多地从政策和经济层面减少各项非技术障碍,进一步提升电力系统中的风电比例,让清洁低碳的可再生能源在能源转型、减缓气候变化和保护环境方面发挥更大作用。