企业动态

远景风向标 | 百米分辨率风速图谱是如何得到的?

2016-08-31 09:06  来源:远景能源《风向标》  点击:1505
  对于风电投资者来说,最关心的莫过于投资收益率的保证,而这一需求能否得到满足取决于是否能找到一块“风水宝地”,这就是我们常说的宏观选址对于风电投资的重要性。“出生决定一生”恰当地概括了这项工作的意义。可以说,各风机厂商、风电服务商都为风场的“好出身”使出浑身解数,陆续推出自己的风速图谱产品。目前已知的最高分辨率产品其分辨率为100m,那么你了解这百米分辨率的风速图谱是如何得到的吗?
  
  也许,你脑洞中闪过的方法是竖立测风塔观测吧,但这显然不是正确答案,因为单单是塔的成本就足以让人望而却步。需要提示的是,中国气象局风能太阳能资源评估中心曾在2008年牵头进行了国内风能资源的详查,在全国范围内设立了400座测风塔,据说花费数亿元。照此计算,要达到100m分辨率的诉求,可能就要举全国之力去立塔了。既然观测法不可取,那究竟是用什么方法得到的100m分辨率呢?答案是通过数值模式计算得到的。下面来看整个的计算过程。
  
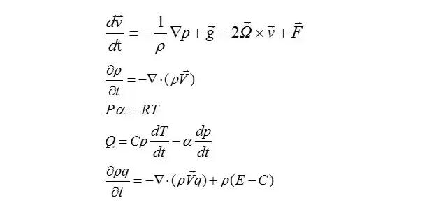
  谈到数值模式,最常用的莫过于天气研究与预报模式的WRF了,它是由气象界内大名鼎鼎的美国国家大气研究中心、美国国家海洋与大气局等机构联合开发的,主要服务于空间尺度从几十米到上千公里的气象应用。该应用通过求解控制大气运动的方程组来得到特定时刻的大气状态。举例来说,如果要描述一个直线运动的小汽车任意时刻的位置,除了要知道小汽车初始时刻的位置,还要知道作用在其上的力,这样依托牛顿第一定律,就可以得到小汽车的运动轨迹。同理,描述大气的运动也需要给定数值模式初始值(常用的数据源包括FNL、GFS、MERRA和ERA,这些数据的空间分辨率在几十公里到上百公里,时间分辨率为小时级别),然后以此数据驱动模式中的控制方程,就可以得到大气的状态。需要注意的是,数值模式的控制方程要比驱动小汽车的力复杂的多,描述大气状态需要下面的5个方程:
  
  我们对上述公式不再深究,只需知道上面的五个方程分别为大气运动的动量方程、质量方程、大气状态方程、热力学方程以及水汽方程,是不是觉得这些方程非常高大上?
  
  对于风速图谱常被问到的一个问题是,你的WRF分辨率做到了多少?这是什么意思呢?原来作为中尺度模式,WRF分辨率有一定的局限性,对于中纬度地区,模式中最高分辨率的地形约为800m,另外受限于WRF庞大的计算量,目前主流的WRF分辨率为1千米或3千米,时间为1小时。
  
  提到分辨率,不得不提的另一个名词——降尺度。看上去,这词很专业,其实就是把模式输入通过动力方程组将时空分辨率提高,在WRF里这一过程是通过嵌套来实现的,如下图所示:最外层网格为27Km,再往里网格为9Km,最里面的网格为3Km。令人吃惊的是,同样的计算范围,3Km的网格计算量约为27Km网格的729倍!如此大的计算量必须进行嵌套处理,这既可以将更大空间范围的信息包含进来,同时又有效控制了总的计算量。
  
  WRF模式分辨率做到公里级别后,百米量级的图谱又是怎么得到的呢?不卖关子啦!用的就是风电行业常用来进行微观选址的CFD,因为WRF模式的分辨率不足以描述局部的地形变化,尤其是在复杂地形,此时利用CFD模型,配合分辨率达到30m的aster地形数据,以WRF风速作为输入,百米分辨率的风速图谱就此诞生。下图是以aster数据生成的地形图,可见其可以很好地描述局部的地形变化。
  
  好了,现在你对百米分辨率的风速图谱是不是也多了些认识呢?当然,这只是数值模式在风电行业应用中的一角,要使其在风电开发中发挥更大作用还有很多的事情可以做呢!